Сообщения без ответов | Активные темы
| Автор |
Сообщение |
|
RN1M
|
Заголовок сообщения: По Белому морю на байдарке Добавлено: Чт 24 июл 2014 00:27 |
|
Зарегистрирован: Пт 22 мар 2013 17:28 Сообщений: 199 Откуда: SPB
|
Здравствуйте! Команда из трех человек на двух байдарках собирается преодолеть около 100 км по Белому морю за 12 дней, следуя по маршруту: Рабочеостровск - Коловары - Кузова -о.Олешин - Соловецкие острова и обратно. Для работы в эфире будет использоваться FT817ND, АКБ 24 А\ч, solar panel 20W. Антенны - IndV на 40м и 20м и выше. SSB\CW За передвижением можно будет следить в системе APRS, позывной RN4ACZ-9, координаты буду передавать со стоянок через европейскую систему PSKmail на 10мгц. Постараюсь поучаствовать в трафике РАС на 14,300 по утрам в 10:00мск. До встречи в эфире! 73!
_________________ Радиопоход Сергей, team RY1AAC, ex. RN4ACZ
|
|
| Вернуться наверх |
|
 |
|
olegatr
|
Заголовок сообщения: Re: По Белому морю на байдарке Добавлено: Чт 24 июл 2014 09:33 |
|
 |
| Заслуженный баламут |
Зарегистрирован: Вт 01 май 2007 00:00 Сообщений: 5149
|
|
Сережа, ты такой умница. Удачи тебе во всем. Я буду гордиться, что знаком с тобою лично.
|
|
| Вернуться наверх |
|
 |
|
ua1ana
|
Заголовок сообщения: Re: По Белому морю на байдарке Добавлено: Чт 24 июл 2014 11:38 |
|
Зарегистрирован: Пн 04 июл 2011 02:19 Сообщений: 485
|
|
Удачи Вам ребята. На байдарке до Соловков это круто.
73, Сергей UA1ANA
|
|
| Вернуться наверх |
|
 |
|
ua1oej
|
Заголовок сообщения: Re: По Белому морю на байдарке Добавлено: Чт 24 июл 2014 15:57 |
|
Зарегистрирован: Ср 24 ноя 2010 01:00 Сообщений: 199 Откуда: KP94VN
|
|
Непросто будет пройти Кузова-Соловки. Открытое море,течение + ветер. Хорошей погоды .безопасного плавания ! Виктор
|
|
| Вернуться наверх |
|
 |
|
RA1ALH
|
Заголовок сообщения: Re: По Белому морю на байдарке Добавлено: Сб 26 июл 2014 03:06 |
|
 |
| exUB1ABV |
Зарегистрирован: Сб 16 апр 2011 16:38 Сообщений: 172 Откуда: KO59EX Ленинград
|
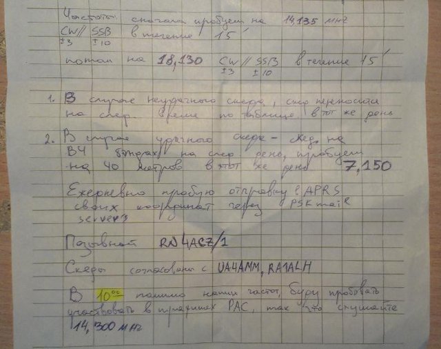
Сергей прислал смс из поезда проезжал Петрозаводск, просил меня опубликовать расписание его выхода в эфир. Конечно всё зависит от условий в которых будет экспедиция Сергея.Наверно не всегда получится выходить в указанное время. Будем слушать! У Сергея маленькая проверенная походами и соревнованиями QRP станция ft-817 и аккумулятор, для зарядки он планирует использовать солнечную батарею небольшой мощности. Публикую расписание выхода в эфир RN4ACZ/1 от Сергея. Счастливого пути!  адрес странички про экcпедиции RN4ACZ http://radiopohod.blogspot.ru/
| Вложения: |

IMAG3347_.JPG [ 125.63 Кб | Просмотров: 17159 ]
|

IMAG3348_.JPG [ 110.76 Кб | Просмотров: 17159 ]
|
_________________ 1983-84 op.UZ1AXM, 1985-86 op.UZ1AYD, 2011 R1A-127, 2011-12 UB1ABV
|
|
| Вернуться наверх |
|
 |
|
RA1ALH
|
Заголовок сообщения: Re: По Белому морю на байдарке Добавлено: Вс 27 июл 2014 02:42 |
|
 |
| exUB1ABV |
Зарегистрирован: Сб 16 апр 2011 16:38 Сообщений: 172 Откуда: KO59EX Ленинград
|
|
Работу RN4ACZ/1 зафиксировали скиммеры Сергей вышел раньше на несколько часов и на другом диапазоне de freq dx snr speed mode time UTC SK3W 18078.1 RN4ACZ/1 11 dB 20 wpm 2014-07-26 17:06:00 SK3W 18091.0 RN4ACZ/1 22 dB 20 wpm 2014-07-26 16:59:00 OH6BG 18083.8 RN4ACZ/1 13 dB 23 wpm 2014-07-26 16:51:00
_________________ 1983-84 op.UZ1AXM, 1985-86 op.UZ1AYD, 2011 R1A-127, 2011-12 UB1ABV
|
|
| Вернуться наверх |
|
 |
|
RA1ALH
|
Заголовок сообщения: Re: По Белому морю на байдарке Добавлено: Вс 27 июл 2014 10:53 |
|
 |
| exUB1ABV |
Зарегистрирован: Сб 16 апр 2011 16:38 Сообщений: 172 Откуда: KO59EX Ленинград
|
|
Информация от RN4ACZ/1!Сергей подошёл сегодня на траффик РАС и сообщил что выдвигается в сторону острова Русский Кузов .Проходила станция с QSB но вполне уверенно .Я принимал в городе на ft-857 и антенну верёвка .
_________________ 1983-84 op.UZ1AXM, 1985-86 op.UZ1AYD, 2011 R1A-127, 2011-12 UB1ABV
|
|
| Вернуться наверх |
|
 |
|
RA1AC
|
Заголовок сообщения: Re: По Белому морю на байдарке Добавлено: Вс 27 июл 2014 17:45 |
|
Зарегистрирован: Пн 10 ноя 2008 01:00 Сообщений: 863 Откуда: SPB
|
|
Молодцы,уважаю! В 80х с группой шли на каноэ двойках по Ладоге, ближе 100м не подходили к берегу волны были жуткие, если выкидывает на гребень,то в лучшем случае видно один экипаж из шести. А потом ночной переход из шхер в Приозерск мимо базы, огни БУМа пропали, отражение луны тоже, а компас один и фонарь то же. Экстрим! Но куча удовольствия.
|
|
| Вернуться наверх |
|
 |
|
UA1CCE
|
Заголовок сообщения: Re: По Белому морю на байдарке Добавлено: Вс 27 июл 2014 18:10 |
|
Зарегистрирован: Пт 02 янв 2009 01:00 Сообщений: 819
|
|
| Вернуться наверх |
|
 |
|
RA1ALH
|
Заголовок сообщения: Re: По Белому морю на байдарке Добавлено: Ср 30 июл 2014 00:28 |
|
 |
| exUB1ABV |
Зарегистрирован: Сб 16 апр 2011 16:38 Сообщений: 172 Откуда: KO59EX Ленинград
|
|
Новости от RN4ACZ/1 Сергей сейчас в районе островов Русский Кузов и Немецкий Кузов ,цель дойти до Соловков. По прежнему активен во время стоянок: SK3W 14045.2 RN4ACZ/1 15 dB 20 wpm 2014-07-29 19:08:00 SK3W 14062.3 RN4ACZ/1 18 dB 20 wpm 2014-07-29 18:10:00 SK3W 14050.2 RN4ACZ/1 21 dB 20 wpm 2014-07-29 18:05:00 SK3W 14062.9 RN4ACZ/1 17 dB 20 wpm CQ 2014-07-29 17:39:00 OH6BG 14063.0 RN4ACZ/1 15 dB 20 wpm CQ 2014-07-29 17:36:00 SK3W 14062.9 RN4ACZ/1 17 dB 20 wpm CQ 2014-07-29 17:29:00 OH6BG 14065.0 RN4ACZ/1 23 dB 20 wpm CQ 2014-07-29 17:17:00 SK3W 14064.9 RN4ACZ/1 22 dB 20 wpm CQ 2014-07-29 17:17:00 OH6BG 14065.0 RN4ACZ/1 24 dB 20 wpm CQ 2014-07-29 17:17:00 OH6BG 14065.0 RN4ACZ/1 23 dB 20 wpm DE 2014-07-29 17:07:00 SK3W 14064.9 RN4ACZ/1 22 dB 20 wpm DE 2014-07-29 17:05:00 SK3W 14064.9 RN4ACZ/1 14 dB 20 wpm CQ 2014-07-29 16:55:00 SK3W 14064.9 RN4ACZ/1 15 dB 20 wpm 2014-07-29 16:54:00 SK3W 14036.8 RN4ACZ/1 19 dB 20 wpm 2014-07-27 20:09:00 SK3W 14043.6 RN4ACZ/1 14 dB 20 wpm DE 2014-07-27 20:03:00 SK3W 14063.0 RN4ACZ/1 15 dB 20 wpm DE 2014-07-27 20:01:00 SK3W 14016.0 RN4ACZ/1 46 dB 21 wpm 2014-07-27 19:19:00 SK3W 14042.3 RN4ACZ/1 20 dB 20 wpm 2014-07-27 19:12:00 OH6BG 14042.3 RN4ACZ/1 25 dB 20 wpm DE 2014-07-27 19:12:00 OH6BG 14025.3 RN4ACZ/1 29 dB 20 wpm 2014-07-27 19:07:00 SK3W 14060.3 RN4ACZ/1 20 dB 20 wpm DE 2014-07-27 19:02:00 OH6BG 14060.3 RN4ACZ/1 27 dB 20 wpm DE 2014-07-27 19:02:00 OH6BG 14059.4 RN4ACZ/1 19 dB 20 wpm 2014-07-27 17:56:00 SK3W 14059.1 RN4ACZ/1/P 21 dB 20 wpm CQ 2014-07-27 17:08:00 SK3W 14059.1 RN4ACZ/1/P 22 dB 20 wpm DE 2014-07-27 17:05:00 SK3GW 14059.1 RN4ACZ/1/P 7 dB 20 wpm 2014-07-27 17:05:00 OH6BG 14059.2 RN4ACZ/1/P 17 dB 20 wpm DE 2014-07-27 17:05:00 SK3W 14055.0 RN4ACZ/1 21 dB 20 wpm 2014-07-27 16:59:00 OH6BG 14055.0 RN4ACZ/1 25 dB 20 wpm DE 2014-07-27 16:58:00 Пока не провел с ним связь. Пишите кто слышал RN4ACZ/1 и кто с ним работал во время этой экспедиции.
_________________ 1983-84 op.UZ1AXM, 1985-86 op.UZ1AYD, 2011 R1A-127, 2011-12 UB1ABV
|
|
| Вернуться наверх |
|
 |
|
RA1ALH
|
Заголовок сообщения: Re: По Белому морю на байдарке Добавлено: Ср 30 июл 2014 10:19 |
|
 |
| exUB1ABV |
Зарегистрирован: Сб 16 апр 2011 16:38 Сообщений: 172 Откуда: KO59EX Ленинград
|
|
Новая информация об экcпедиции RN4ACZ/1. Сергей достиг Соловецких островов!У него все нормально, ежедневно активен в эфире во время стоянок вечером и утром на траффике РАС.
_________________ 1983-84 op.UZ1AXM, 1985-86 op.UZ1AYD, 2011 R1A-127, 2011-12 UB1ABV
|
|
| Вернуться наверх |
|
 |
|
ua1oej
|
Заголовок сообщения: Re: По Белому морю на байдарке Добавлено: Ср 30 июл 2014 10:39 |
|
Зарегистрирован: Ср 24 ноя 2010 01:00 Сообщений: 199 Откуда: KP94VN
|
|
отмахать Кузова -Соловки не каждый может! На о.Соловецком находится R1OAB он после 21мск на 145.500 будет на приеме или передаче.
|
|
| Вернуться наверх |
|
 |
|
RA1ALH
|
Заголовок сообщения: Re: По Белому морю на байдарке Добавлено: Чт 31 июл 2014 13:54 |
|
 |
| exUB1ABV |
Зарегистрирован: Сб 16 апр 2011 16:38 Сообщений: 172 Откуда: KO59EX Ленинград
|
|
Всем привет от RN4ACZ/1! Сергей сообщил сегодня что отправляется в обратный путь сейчас в районе островов Русский Кузов и Немецкий Кузов.Слышал на 14300 с рапортом 55 меня он тоже принимал на 58. В силу обстоятельств, Сергей может использовать для связи только ft-817 и других средств связи(сотового телефона и интернет) у него нет.
_________________ 1983-84 op.UZ1AXM, 1985-86 op.UZ1AYD, 2011 R1A-127, 2011-12 UB1ABV
|
|
| Вернуться наверх |
|
 |
|
RA1ALH
|
Заголовок сообщения: Re: По Белому морю на байдарке Добавлено: Вт 05 авг 2014 16:57 |
|
 |
| exUB1ABV |
Зарегистрирован: Сб 16 апр 2011 16:38 Сообщений: 172 Откуда: KO59EX Ленинград
|
|
Хроника движения RN4ACZ/1: 2 августа Сергей вышел на траффик РАС он передавал с острова Корожный сообщил у него всё в порядке. скиммеры зафиксировали его работу. SK3W 18083.8 RN4ACZ/1 6 dB 20 wpm DE 2014-08-02 12:19:00 SK3W 14050.1 RN4ACZ/1 13 dB 20 wpm DE 2014-08-02 12:13:00 SK3W 14050.2 RN4ACZ/1 18 dB 20 wpm DE 2014-08-02 11:42:00 SK3W 14061.5 RN4ACZ/1 11 dB 20 wpm DE 2014-08-02 11:22:00 SK3W 14051.8 RN4ACZ/1 11 dB 20 wpm CQ 2014-08-02 10:48:00 SK3W 14061.0 RN4ACZ/1 10 dB 20 wpm 2014-08-02 09:32:00 SK3W 14061.8 RN4ACZ/1 8 dB 20 wpm DE 2014-08-02 09:22:00 SK3W 14063.9 RN4ACZ/1 32 dB 20 wpm DE 2014-08-02 09:14:00 SK3W 14062.9 RN4ACZ/1 16 dB 20 wpm DE 2014-08-02 09:07:00 SK3W 14062.3 RN4ACZ/1 14 dB 20 wpm 2014-08-02 09:01:00 SK3W 14060.5 RN4ACZ/1 21 dB 20 wpm DE 2014-08-02 07:05:00
_________________ 1983-84 op.UZ1AXM, 1985-86 op.UZ1AYD, 2011 R1A-127, 2011-12 UB1ABV
|
|
| Вернуться наверх |
|
 |
|
RA1ALH
|
Заголовок сообщения: Re: По Белому морю на байдарке Добавлено: Ср 06 авг 2014 10:27 |
|
 |
| exUB1ABV |
Зарегистрирован: Сб 16 апр 2011 16:38 Сообщений: 172 Откуда: KO59EX Ленинград
|
|
Сегодня прошло сообщение от RN4ACZ/1 на траффике РАС- он на острове Як,всё в порядке у него,по всей видимости сегодня достигнет большой земли и будет готовится к обратной дороге в Петербург.
_________________ 1983-84 op.UZ1AXM, 1985-86 op.UZ1AYD, 2011 R1A-127, 2011-12 UB1ABV
|
|
| Вернуться наверх |
|
 |
Кто сейчас на форуме |
Сейчас этот форум просматривают: нет зарегистрированных пользователей и гости: 4 |
|
Вы не можете начинать темы Вы не можете отвечать на сообщения Вы не можете редактировать свои сообщения Вы не можете удалять свои сообщения Вы не можете добавлять вложения
|
|